【学生工作】WilliamHill中文官方网站2021年下半年拟接受预备党员名单公示
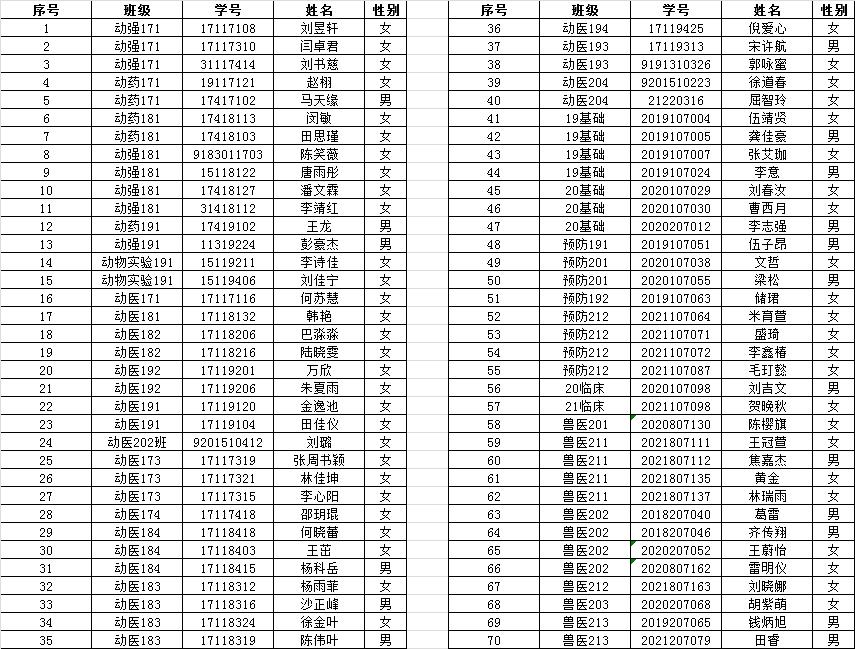
根据WilliamHill中文官方网站党员发展工作安排,经党组织培养考察,党支部讨论,结合入党积极分子期间个人表现、结业考试成绩等综合情况,经学院党委审核,接收刘昱轩等70名同学为拟发展预备党员,现将名单公示如下:

公示期3天,如对以上公示结果有异议,请在公示期内以书面形式将意见反馈至WilliamHill中文官方网站组织员处(逸夫楼3040)。
中共WilliamHill中文官方网站委员会
2021年12月12日